• Предмет: Алгебра
  • Автор: elviramakogon
  • Вопрос задан 3 года назад

Решите задания по алгебре с этапами решения.

Приложения:

Ответы

Ответ дал: mmb1
0

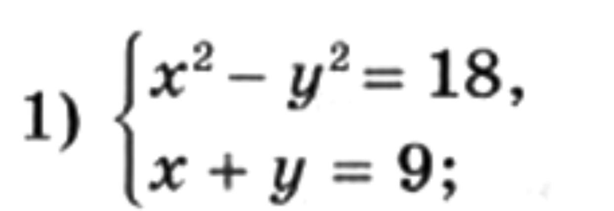
x² - y² = 18

x + y = 9

----

(x - y)(x + y) = 18

9(x - y) = 18

x - y = 2

x + y = 9

Складываем и вычитаем

2x = 11

x = 5.5

2y = 7

y = 3.5

ответ (5.5, 3.5)

Вас заинтересует