• Предмет: Алгебра
  • Автор: elizavetasulimova26
  • Вопрос задан 3 года назад

помогите сроч 2 минут осталось ​

Приложения:

Ответы

Ответ дал: AkiraSenpai2006
0

Відповідь:

степень после ^

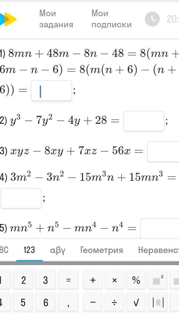
1) 8(n+6)(m-1)

2) (y-7)(y-2)(y+2)

3) x(z-8)(y+7)

4) m(m^2-n^2-5m^3n+5mn^2)


elizavetasulimova26: а пятое
elizavetasulimova26: 4 это 4 или 5
Ответ дал: Tina1701
1

Ответ:

1) 8( n+6)(m - 1)

2) ( y-7)(y-2)(2+2)

3) x ( z-8)( y + 7)

4) 3( 1 - 5mn)(m-n)(m+n)

5) n^{4}(n - 1)(m + 1)

Объяснение:

2)  = y²( y - 7) - 4( y - 7) = ( y - 7)( y² - 4) = ( y-7)(y-2)(2+2)

3)  = xy(z - 8) + 7x(z - 8) = ( z - 8 )( xy + 7x) = x ( z-8)( y + 7)

4)  = 3 ( m² - n²) - 15mn( m² - n²) = ( m² - n²)( 3 - 15mn) = 3( 1 - 5mn)(m-n)(m+n)

5)   = n^{5}( m + 1) - n^{4}( m + 1) = ( m + 1)( n^{5} - n^{4}) = n^{4}(n - 1)(m + 1)

Вас заинтересует