Обменяю баллы на ответы...
Даю 100 балов, за ответы хотя бы два первых уровня, на два варианта...

Ответы
Ответ:1.A
2.Б
3.А
Объяснение:
Ответ:
1-А
2-А
3-А
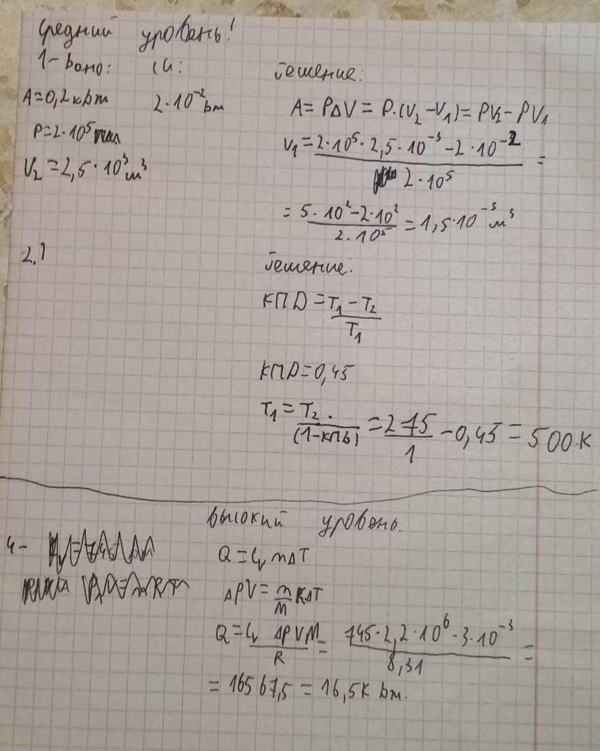
средний уровень
1- V1=1,5×10^-3 м3=1'5л
2- тк. Нижние части отмосферы получают тепло от поверхности "Земли". Или же из за того что когда атмосферное давление уменьшается, а воздух начинает расширяться. И в результате расширения Температура падает.
3-500 К
Достаточный уровень
1-(сделал только 1 рисунок..) во первых это "изотема" и это процесс изотремический. Б- он делает работу А=6×10^3 Дж.
2- это из-за того что когда при расширении газ совершает работу если тепло не подводить то она будет её совершать за счёт уменьшения внутренней энергии и температура будет падать и так чтобы она оставалась постоянной нужно ну подводить тепло.
3 V/T1 = V2/T2 V2=V T2/T1 A=p(V2-V) =pv(T2/T1 - 1)=10^5 Па ×70м^3 (296К/280К - 1)=400кДж.
4- 16,5кДЖ
Высокий уровень
1-КПД1=(0,5*(P2-P1)*(V4-V1))/(P2*(V4-V1)+dU13);
КПД2=(0,5*(P2-P1)*(V4-V1))/(0.5*(P2+P1)*(V4-V1)+dU13); Дальше самостоятельно.
КПД2>КПД1; вот и все.
2- я сделал задние с помощью первого закона термодинамики:
Q = A + ΔU
Работа при изобарном процессе:
A = P*ΔV
И Изменение внутренней энергии:
ΔU = (3/2)RΔT = (3/2)P*ΔV
И общее количество теплоты:
Q = (5/2)P*ΔV
На работу идет:1:(5/2) = 2/5 или 40% затраченного тепла.на изменение внутр. энергии идет 60% от затраченного тепла.
Объяснение:
Извини остальное не сделал.... Я час пытался понять не смог..
