Ответы
Ответ дал:
1
Ответ:
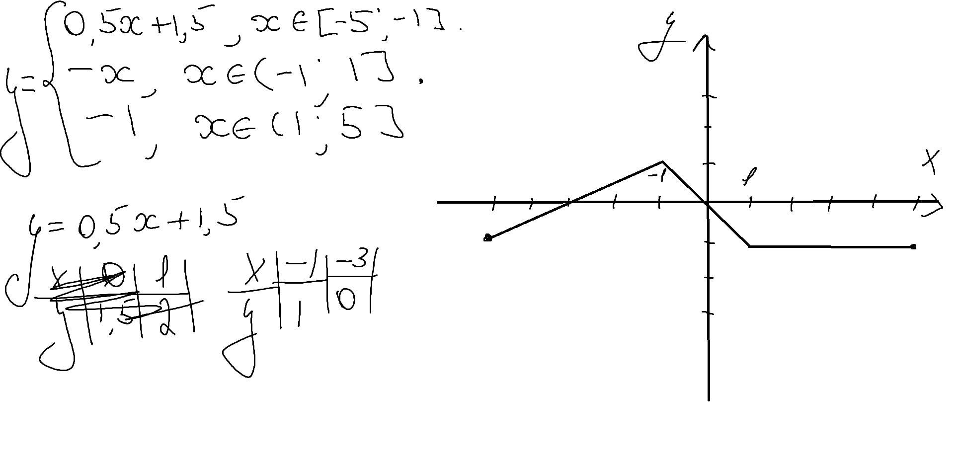
примерно такой график должен получиться.. на компьютере все-таки не очень удобно их чертить.
Объяснение:
а) D(x) = [-5;5]
б) наибольшее значение = 1, наименьшее = -1
Приложения:

Аноним:
Тот что зачеркнутый не писать?
Вас заинтересует
2 года назад
2 года назад
2 года назад
2 года назад
8 лет назад
8 лет назад
9 лет назад
9 лет назад