• Предмет: Алгебра
  • Автор: vs7038677
  • Вопрос задан 3 года назад

СРОЧНО
РЕШИТЕ ПОЖАЛУЙСТА ХОТЬ ЧТО-ТО ОТ СЮДА ​

Приложения:

Ответы

Ответ дал: linasunday777
2

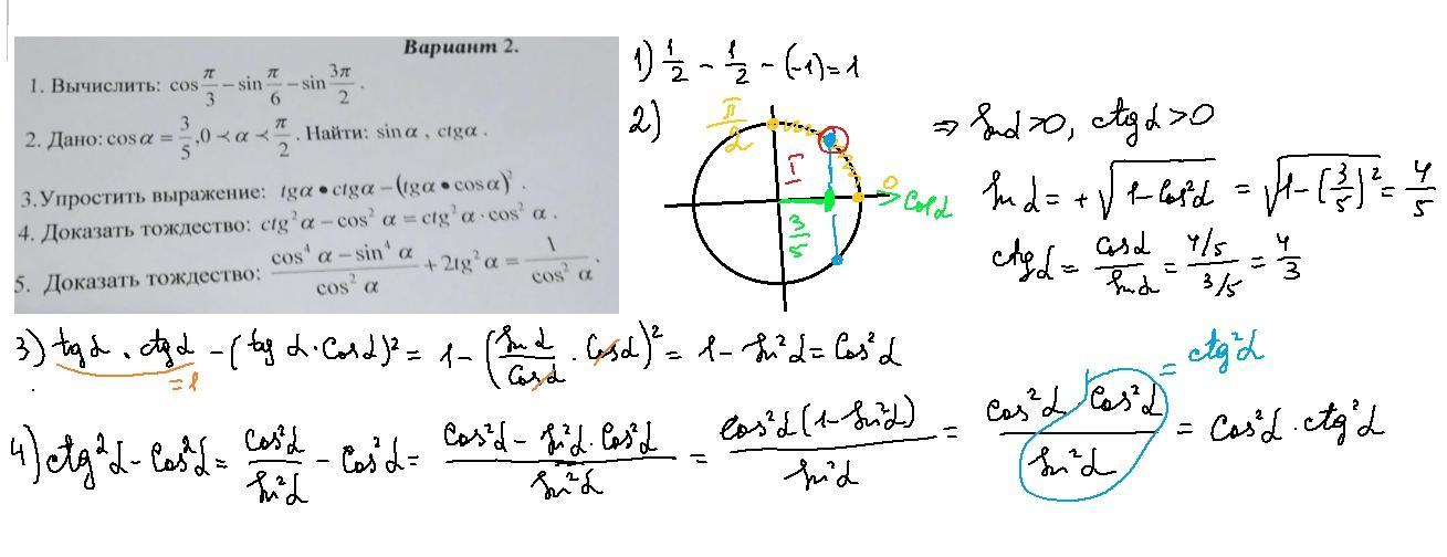
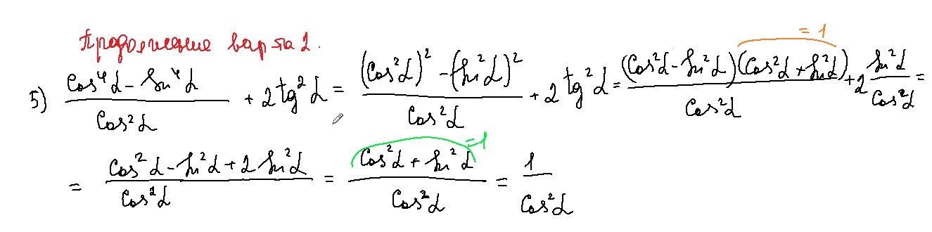
Ответ:

решение на прикрепленном фото

Объяснение:

Приложения:
Вас заинтересует