• Предмет: Алгебра
  • Автор: vadimkrivov8
  • Вопрос задан 3 года назад

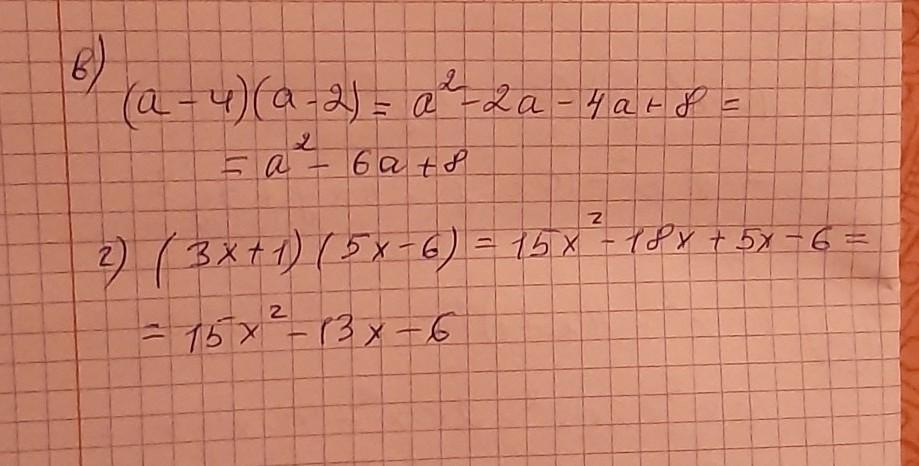
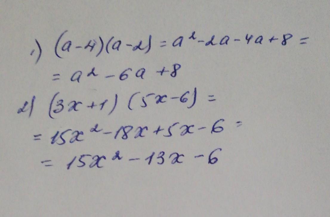
Представьте в виде многочленовB)(a-4)(a-2); r)(3x+1)(5x-6)​

Ответы

Ответ дал: serovaksusa1
1

Ответ:

Смотри решение на фото

Приложения:
Ответ дал: treasury8352
0

Ответ:

.............................................

Приложения:
Вас заинтересует