Ответы
Ответ дал:
0
Y=2
1,2*5=6
y+4=6
Y=6-4
Y=2
1,2*5=6
y+4=6
Y=6-4
Y=2
Ответ дал:
0
Ответ:
...... ответ.........
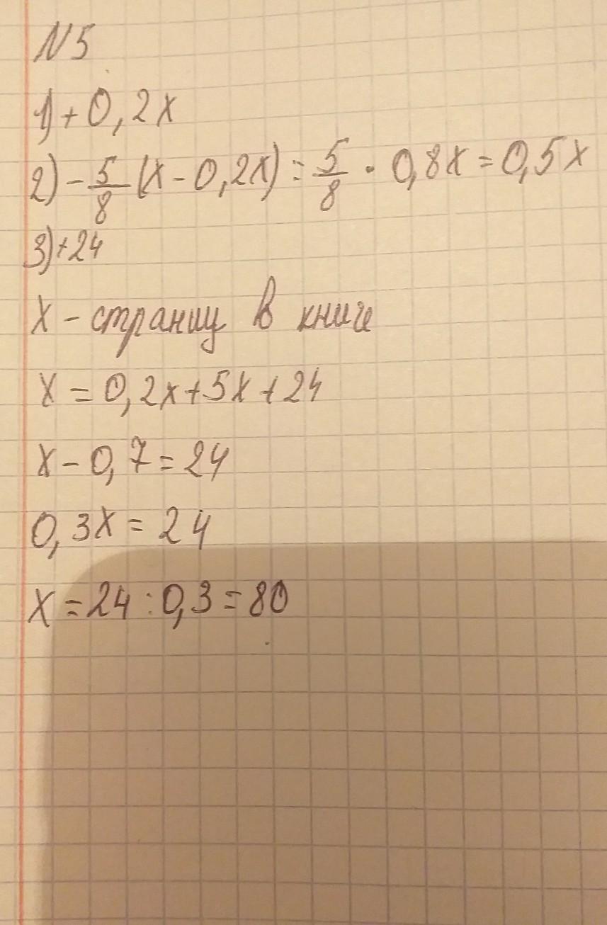
Приложения:


Вас заинтересует
2 года назад
2 года назад
2 года назад
8 лет назад
8 лет назад
9 лет назад