• Предмет: Математика
  • Автор: ajdanasagutova
  • Вопрос задан 3 года назад

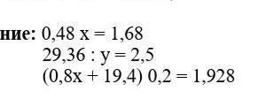
решите уравнение 0,48x=1,68
и другие (1 вопрос не тот)​

Приложения:

Ответы

Ответ дал: anisa260867
3

Ответ:

1. х=1,68:0,48

х=3,5

2. у=29,36:2,5

у=11,744

3.в фото

Пошаговое объяснение:вроде так

Приложения:

ajdanasagutova: спасибо у меня 5
Ответ дал: vika8865
0

0,48x=1,68

x=1,68:0,48

x=168:48

x=3,5

29,36:y=2,5

y=29,36:2,5

y=293,6:25

y=11,744

(0,8x+19,4)0,2=1,928

0,16x+3,88=1,928

0,16x=1,928-3,88

0,16x=-1,952

x=-1,952:0,16

x=-195,2:16

x=-12,2

Вас заинтересует