• Предмет: Алгебра
  • Автор: Аноним
  • Вопрос задан 3 года назад

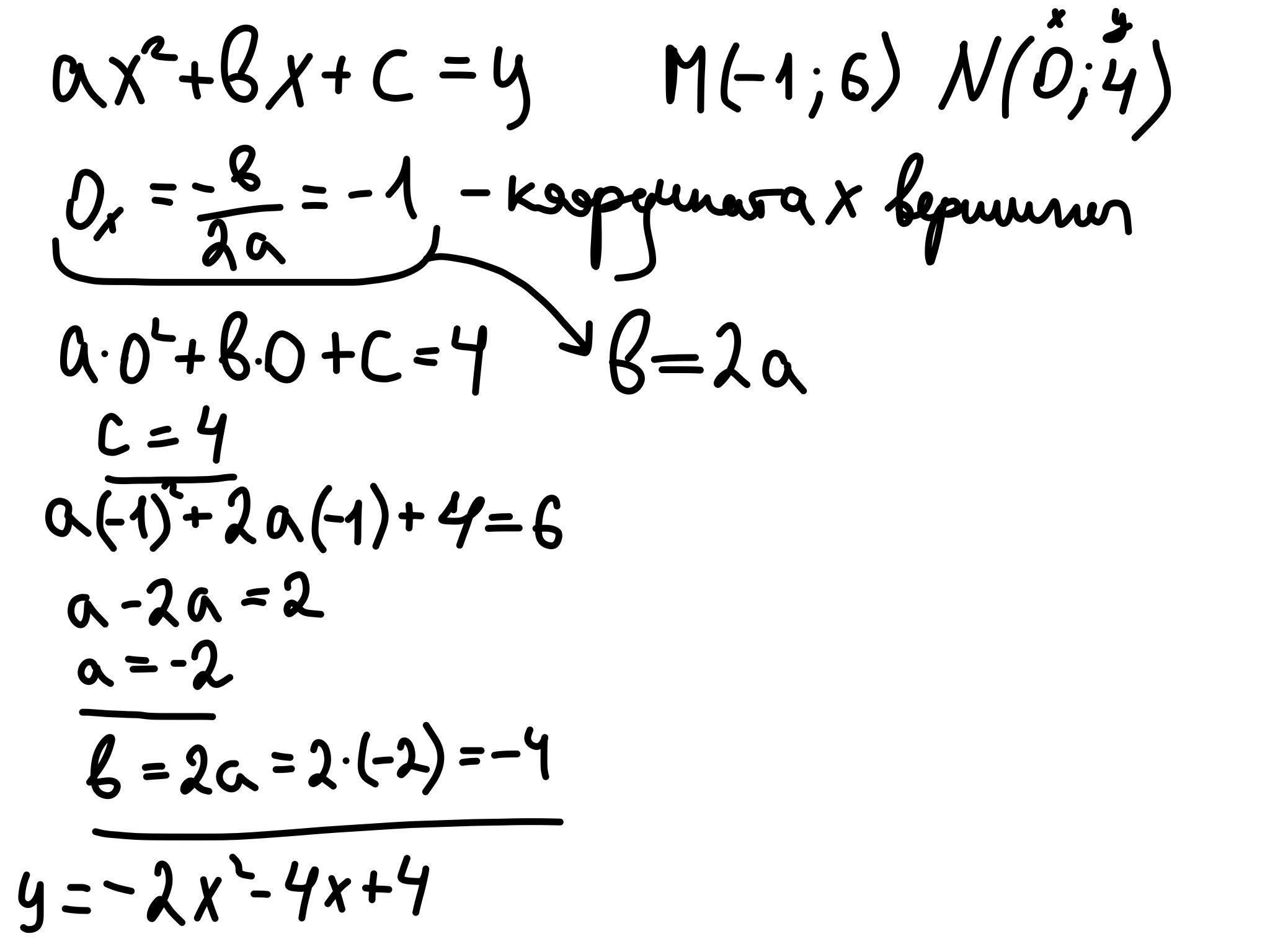
Парабола y=ax²+bx+c имеет вершину в точке C(-1; 6) и проходит через точку D(0; 4). Найдите значения коэффициентов a, b и c.

Ответы

Ответ дал: Ифигения
1

Ответ: -2; -4; 4.

Объяснение: во вложении

Приложения:
Вас заинтересует