Ответы
Ответ дал:
0
получится вот так :)))
Приложения:

Ответ дал:
0
а какое тебе надо?
Ответ дал:
0
сейчас покажу
Ответ дал:
0
я добавила запись с новым вопросом там фото
Ответ дал:
0
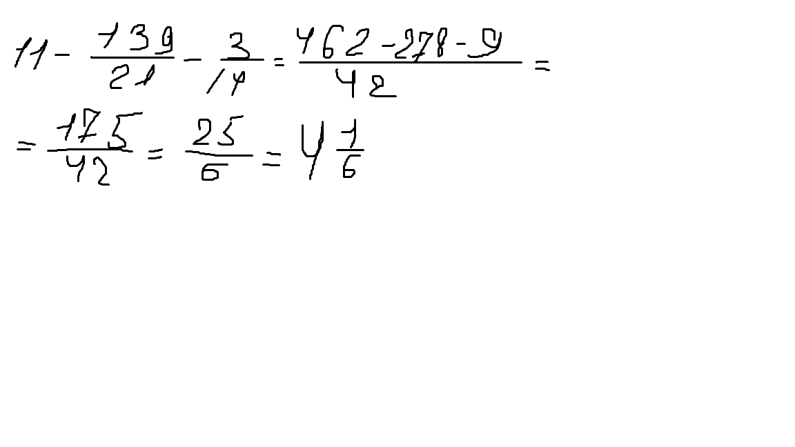
в 1 действии должно получиться 4 целых 18 21, но мы сокращаем и становится 4 целых 6 7. Во 2 действии мы домножаем 4 целых 6 7 на 2 и получится 4 целых и 12 14. Ответ должен получится 4 целых 9 14
Приложения:

Вас заинтересует
2 года назад
8 лет назад
8 лет назад
10 лет назад
10 лет назад
10 лет назад