• Предмет: Математика
  • Автор: samerr767455
  • Вопрос задан 3 года назад

срочноооо пожалуйста​

Приложения:

Ответы

Ответ дал: Tina1701
0

Ответ:

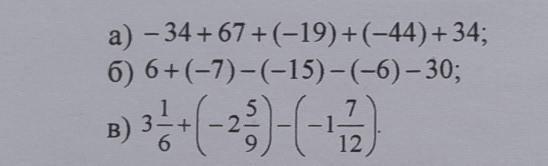
а)4

б) −10

в)  2\frac{7}{36}

Пошаговое объяснение:

а) = -34 + 34 + 67 - 44 -19 =  4

б) = 6 +15 + 6 -7 -30 = −10

в) = 3\frac{2}{12} + 1 \frac{7}{12} - 2\frac{5}{9} = 4\frac{9}{12} -  2\frac{5}{9} = 4\frac{3}{4} -  2\frac{5}{9}  = 4\frac{27}{36} - 2\frac{20}{36} = 2\frac{7}{36}

Вас заинтересует