• Предмет: Алгебра
  • Автор: Аноним
  • Вопрос задан 11 лет назад

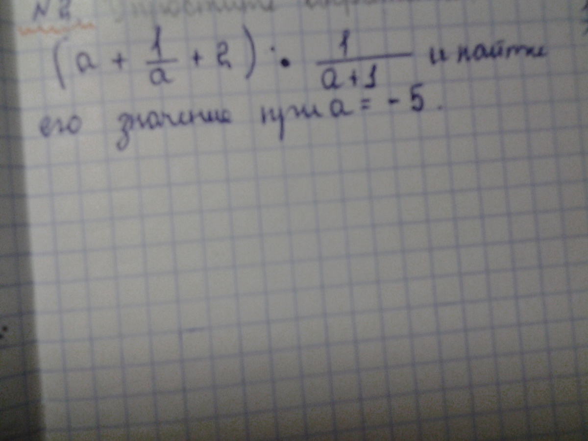
Упростите выражение
помогите пожайлуста

Приложения:

Ответы

Ответ дал: Опыт
0
(a^2+2a+1)/a*(1/(a+1))=(a+1)^2/(a*(a+1))=(a+1)/a
(-5+1)/(-5)=-4/(-5)=4/5=0,8
Ответ дал: ПаниГжешечка
0
удалите мой ответ плиз
Ответ дал: Аноним
0
почему?
Вас заинтересует