• Предмет: Алгебра
  • Автор: so526462
  • Вопрос задан 3 года назад

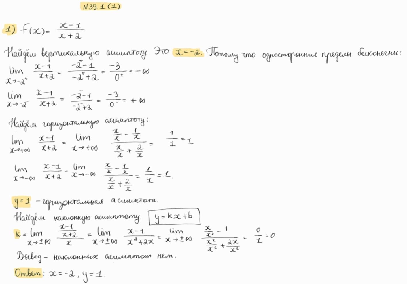
Помогите пожалуйста с алгеброй!!!!!!!! очень надо!!!!! Номер 39.1 (1) Заранее спасибо за помощь по алгебре!!!!!!!! ^_^​

Приложения:

Ответы

Ответ дал: Kierra
8

~~~~~~~~~~~~~~~~~~~~

Приложения:

Kierra: сейчас исправлю одну вещь..
Kierra: теперь нормально. удачи)
Eclipse1125: Спасибо тебе за помощь по алгебре!!!!!! :-) :-) :-)
Kierra: пожалуйста))
Аноним: Спасибо
Аноним: тётя
Вас заинтересует