• Предмет: Алгебра
  • Автор: Аноним
  • Вопрос задан 3 года назад

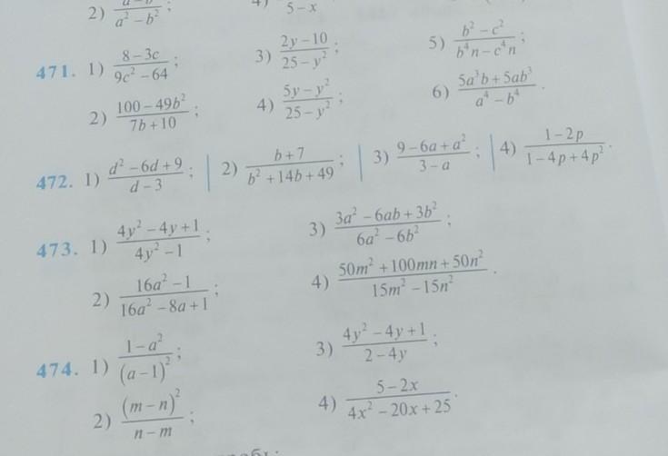
Решите Алгебру плиз
471 472 474 (чётные номера)​

Приложения:

Ответы

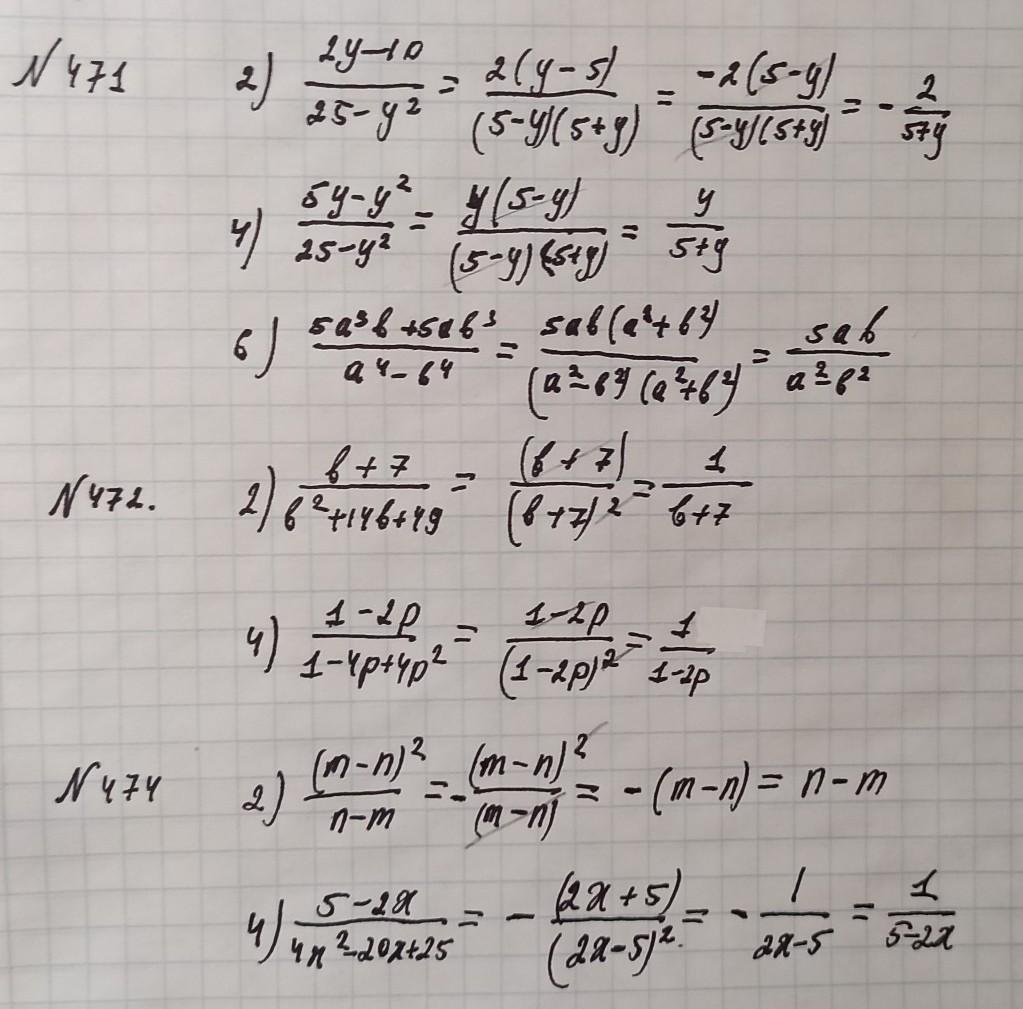
Ответ дал: nastyacap04
1

Ответ:

Ответ смотри во вложении

Приложения:

Аноним: спс
Вас заинтересует