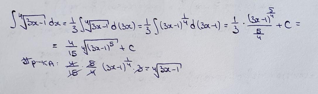
Найти интеграл, результат проверить дифференцированием
(Даю хорошие баллы. Если можно, пожалуйста без лишнего)
![∫\sqrt[4]{3x - 1} dx ∫\sqrt[4]{3x - 1} dx](https://tex.z-dn.net/?f=%E2%88%AB%5Csqrt%5B4%5D%7B3x+-+1%7D+dx)
Приложения:
Ответы
Ответ дал:
2
Ответ:
решение на фотографии.
Приложения:
Вас заинтересует
2 года назад
3 года назад
8 лет назад
8 лет назад