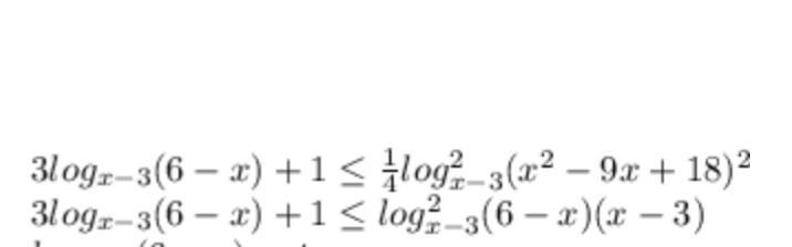
Подскажите, как осуществлен переход от первой строчки ко второй (правая часть неравенства)
Приложения:

tamarabernukho:
https://ibb.co/cQVdcJv
Ответы
Ответ дал:
0
4\left(3\times 3+2\right)y\times \left(\frac{1}{6}\right)-\left(3\times 12+7\right)=2\left(1\times 6+1\right)
Приложения:

Вас заинтересует
2 года назад
2 года назад
2 года назад
8 лет назад
9 лет назад