• Предмет: Математика
  • Автор: caxxapp0191
  • Вопрос задан 3 года назад

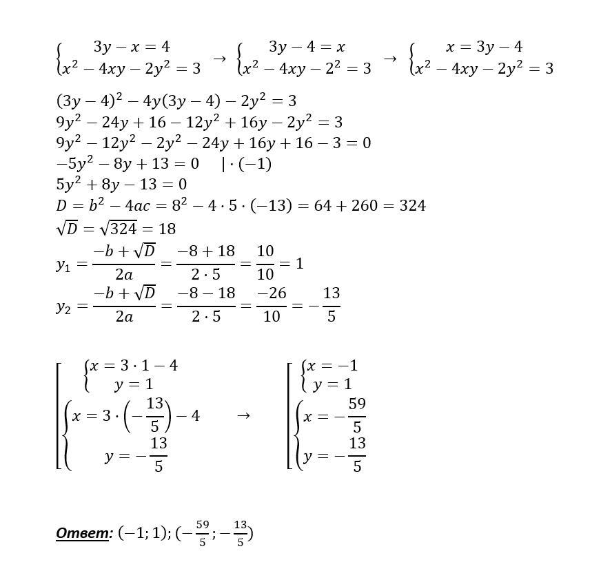
3y-x=4
x²-4xy-2y²=3

Помогите решить систему​

Ответы

Ответ дал: serovaksusa1
0

Ответ:

Смотри решение на фото

Приложения:
Ответ дал: sebrithien
0

Решение в приложении

Приложения:
Вас заинтересует