• Предмет: Математика
  • Автор: nikita10109
  • Вопрос задан 3 года назад

решите пожалуйста с объяснением,в среду контрольная,а я неподготовлен ​

Приложения:

Ответы

Ответ дал: Пеппер
2

Пошаговое объяснение:

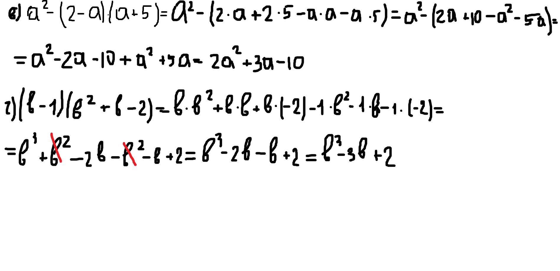
а²-(2-а)(а+5)=а²-(2а-а²+10-5а)=а²-2а+а²-10+5а=2а²+3а-10

(в-1)(в²+в-2)=в³-в²-2в-в²-в+2=в³-2в²-3в+2

(7х-1)(х²-4х+2)=7х³-28х²+14х-х²+4х-2=7х³-29х²+18х-2


TutorOnline: (7х-1)(х²-4х+2)=7х³+28х²+14х-х²+4х-2=7х³+27х²+18х-2
TutorOnline: неверно)
TutorOnline: 7х*(-4х)=-28х2
TutorOnline: а у вас не так)
TutorOnline: исправьте)
karolina456kl: мне не эти задачи надо
TutorOnline: у меня верно)
karolina456kl: я понимаю
karolina456kl: но мне нужно решить 3 задачи которые я выставила пару мин назад
karolina456kl: вы б не могли помочь
Ответ дал: TutorOnline
1

Ответ:-)

Пошаговое объяснение: на фото)

Приложения:
Вас заинтересует