• Предмет: Математика
  • Автор: ismailovaaltynaij29
  • Вопрос задан 3 года назад

срочнооо дам 20 балов

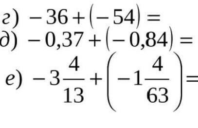
Приложения:

iyazarkova: какой клас

Ответы

Ответ дал: kazenovorazbek
1

Ответ:

1) *-90*

2) *-1,21*

3) -4 304

819


ismailovaaltynaij29: -4 304это ответ?
ismailovaaltynaij29: а 819 это что?
ismailovaaltynaij29: это один ответ?
kazenovorazbek: нет 4 ( целых) 304/819
ismailovaaltynaij29: спасибо
kazenovorazbek: тоесть 4 посередине стоит
iyazarkova: какой клас
iyazarkova: у кого есть Нур забак
ismailovaaltynaij29: 6 класс
ismailovaaltynaij29: Нур забак? что
Вас заинтересует