• Предмет: Алгебра
  • Автор: erty12u
  • Вопрос задан 3 года назад

помогите пожалуйста очень нужно

Приложения:

Ответы

Ответ дал: NNNLLL54
0

Ответ:

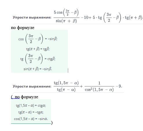
1)\ \ \dfrac{5cos(\frac{3\pi}{2}-\beta )}{sin(\pi +\beta )}-10+5\cdot tg\Big(\dfrac{3\pi}{2}-\beta \Big)\cdot tg(\pi +\beta )=\dfrac{-5\cdot sin\beta }{-sin\beta }-10+5\cdot ctg\beta \cdot tg\beta =\\\\\\=5-10+5=0

2)\ \ \dfrac{tg(1,5\pi -\alpha )}{tg(\pi -\alpha )}+\dfrac{1}{cos^2(1,5\pi -\alpha )}-9=\dfrac{ctg\alpha }{-tg\alpha }+\dfrac{1}{sin^2\alpha } =-9=\\\\\\=-\dfrac{cos^2\alpha }{sin^2\alpha }+\dfrac{1}{sin^2\alpha }-9=\dfrac{1-cos^2\alpha }{sin^2\alpha }-9=-\dfrac{sin^2\alpha }{sin^2\alpha }-9=-1-9=-10

Вас заинтересует