Помогите решить премиры 7 класс алгебра!
И решите на листочки и сфотографируйте и закиньте сюда!
Поже решите...
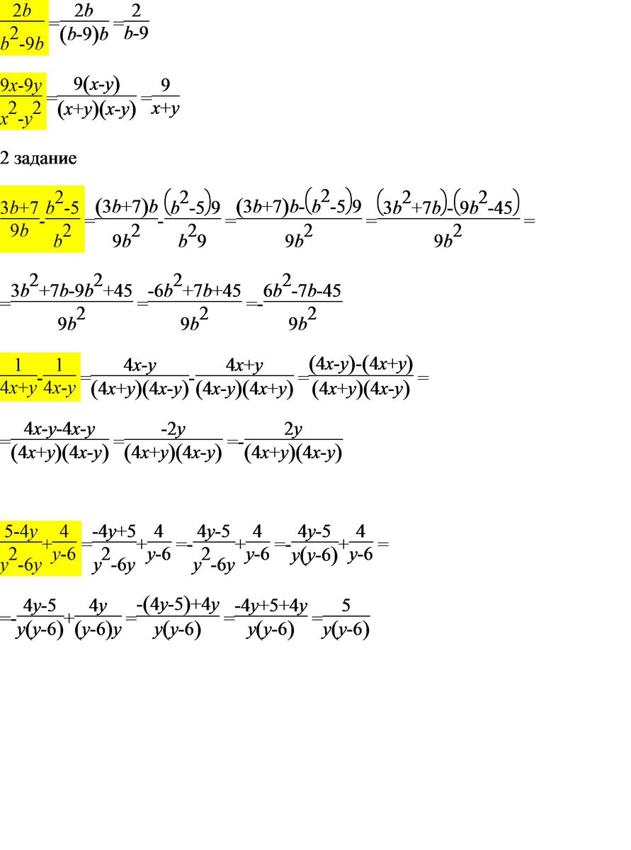
Примеры внутри
Приложения:

Ответы
Ответ дал:
0
файл
-----------------------------
Приложения:

Ответ дал:
0
Щелкните, чтобы развернуть
Приложения:

Вас заинтересует
2 года назад
2 года назад
8 лет назад
10 лет назад
10 лет назад
10 лет назад