• Предмет: Алгебра
  • Автор: khankirill12
  • Вопрос задан 3 года назад

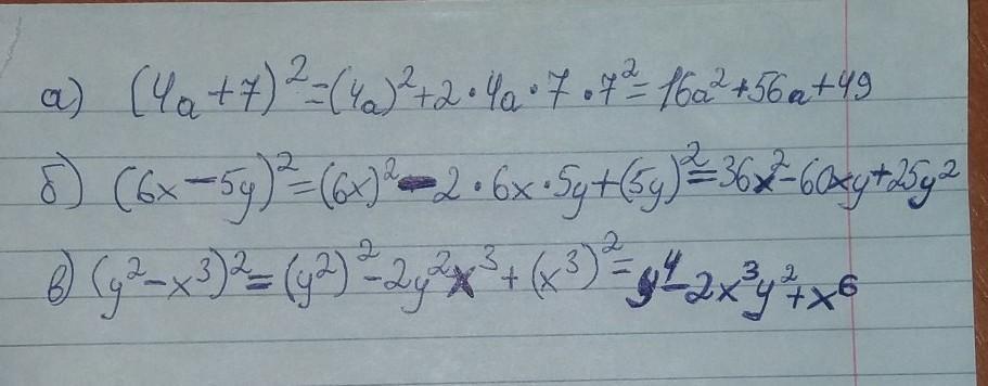
Раскройте скобки:
а) (4а + 7) ²
б) (6х – 5у) ²
в) (у² - х³) ².


khankirill12: срочно даю 50 баллов

Ответы

Ответ дал: ebatyrbay
5

___________________________

Приложения:
Вас заинтересует