Ответы
Ответ дал:
0
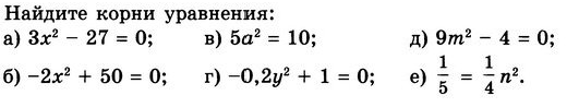
а) 3х²-27=0
3х²=27
х²=9
х1=3
х2=-3
Ответ: 3;-3
б) -2х²+50=0
2х²=50
х²=25
х1=5
х2=-5
Ответ: 5;-5
в) 5а²=10
а²=2
а1=√2
а2=-√2
Ответ: √2;-√2
г) -0,2у²+1=0
0,2у²=1
у²=5
у1=√5
у2=-√5
Ответ: √5;-√5
д) 9m²-4=0
9m²=4
m²=4/9
m1=2/3
m2=-2/3
Ответ: 2/3;-2/3
e) 1/5=1/4n²
n²=0,8
n1=√0,8
n2=-√0,8
Ответ: √0,8;-√0,8
3х²=27
х²=9
х1=3
х2=-3
Ответ: 3;-3
б) -2х²+50=0
2х²=50
х²=25
х1=5
х2=-5
Ответ: 5;-5
в) 5а²=10
а²=2
а1=√2
а2=-√2
Ответ: √2;-√2
г) -0,2у²+1=0
0,2у²=1
у²=5
у1=√5
у2=-√5
Ответ: √5;-√5
д) 9m²-4=0
9m²=4
m²=4/9
m1=2/3
m2=-2/3
Ответ: 2/3;-2/3
e) 1/5=1/4n²
n²=0,8
n1=√0,8
n2=-√0,8
Ответ: √0,8;-√0,8
Ответ дал:
0
а) 3x^2-27=0

Ответ: x1,2=±3
б) −2x^2+50=0


Ответ: x1,2=±5
b) 5a^2−10=0
пусть а = х


Ответ:

г)


Ответ:
Ответ: x1,2=±3
б) −2x^2+50=0
Ответ: x1,2=±5
b) 5a^2−10=0
пусть а = х
Ответ:
г)
Ответ:
Вас заинтересует
3 года назад
3 года назад
8 лет назад
8 лет назад
11 лет назад
11 лет назад
11 лет назад