• Предмет: Математика
  • Автор: inkvizitor01
  • Вопрос задан 3 года назад

Очень срочно, пожалуйста, дам 40 баллов​

Приложения:

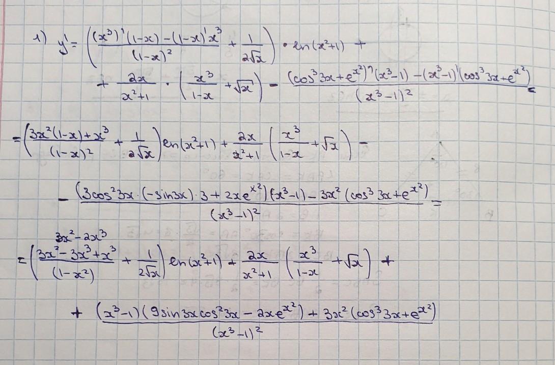
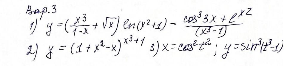
inkvizitor01: Вычислить производные от след. функций

Ответы

Ответ дал: Miroslava227
2

Ответ:

решение на фотографиях

Приложения:
Вас заинтересует