• Предмет: Математика
  • Автор: ffodd13231
  • Вопрос задан 3 года назад

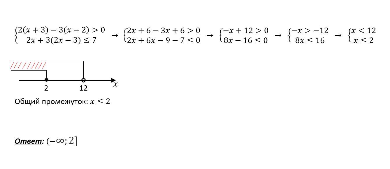
Решить систему неравенств:

Приложения:

Ответы

Ответ дал: sebrithien
0

Решение в приложении

Приложения:
Вас заинтересует