помогите решить интеграл. кто ответ не правильно, на того кидаю жалобу
за правильный ответ даю 20 баллос!
Приложения:

Ответы
Ответ дал:
0
Ответ:
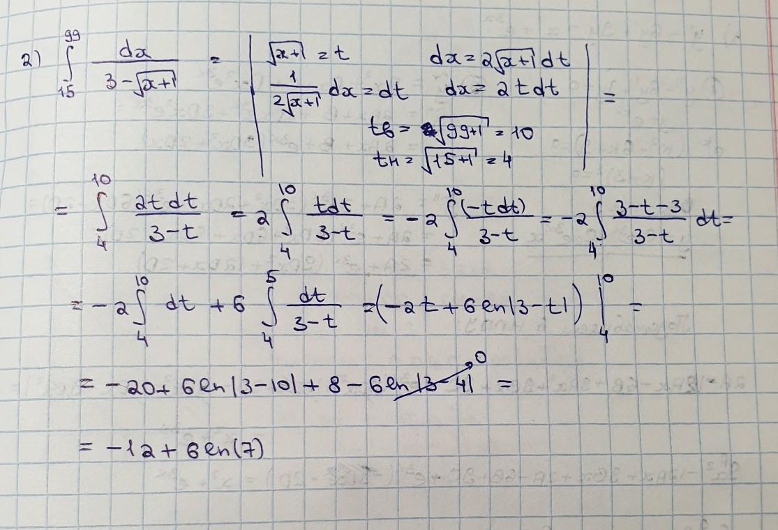
решение на фотографиях
Приложения:


Kattty3a:
вы лучшая!
Вас заинтересует
2 года назад
2 года назад
2 года назад
8 лет назад
8 лет назад
9 лет назад
9 лет назад