• Предмет: Математика
  • Автор: memfiix
  • Вопрос задан 3 года назад

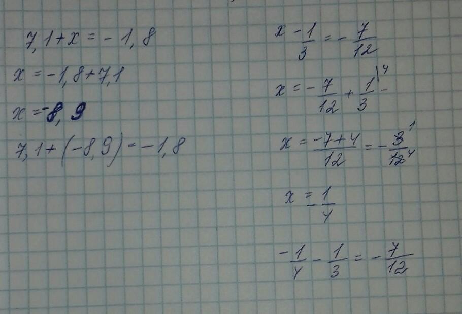
a) 7,1+x=-1,8
b) x-1/3=-7/12
очень срочно даю 20 балов быстооо​

Ответы

Ответ дал: furmansergii79
2

Пошаговое объяснение:

извините что начёркал.........

Приложения:
Вас заинтересует