• Предмет: Математика
  • Автор: alexeymehedkogg
  • Вопрос задан 3 года назад

Площадь прямоугольника картины 15/32 м². Какой длины понадобится багет для изготовления рамки, если длина картины 5/8 м?

СРОЧНО! (Желательно с чётким решениям по действиям)

Ответы

Ответ дал: alexokmail
1

Так как картина прямоугольной формы, то площадь картины равна:

S = a•b = 15/32 м²,

где: a = 5/8 м - длина каотины;

b - ширина картины.

Из указанного имеем:

b = S/a

Длина багета, необходимого для изготовления рамки, будет равна периметру картины:

Р = 2•(a+b) = 2•(a + S/a)

= 2•(5/8 + 15/32:5/8) =

= 2•(5/8 + 3/4) = 2•(5+6)/8 = 11/4 м = 2¾ м.

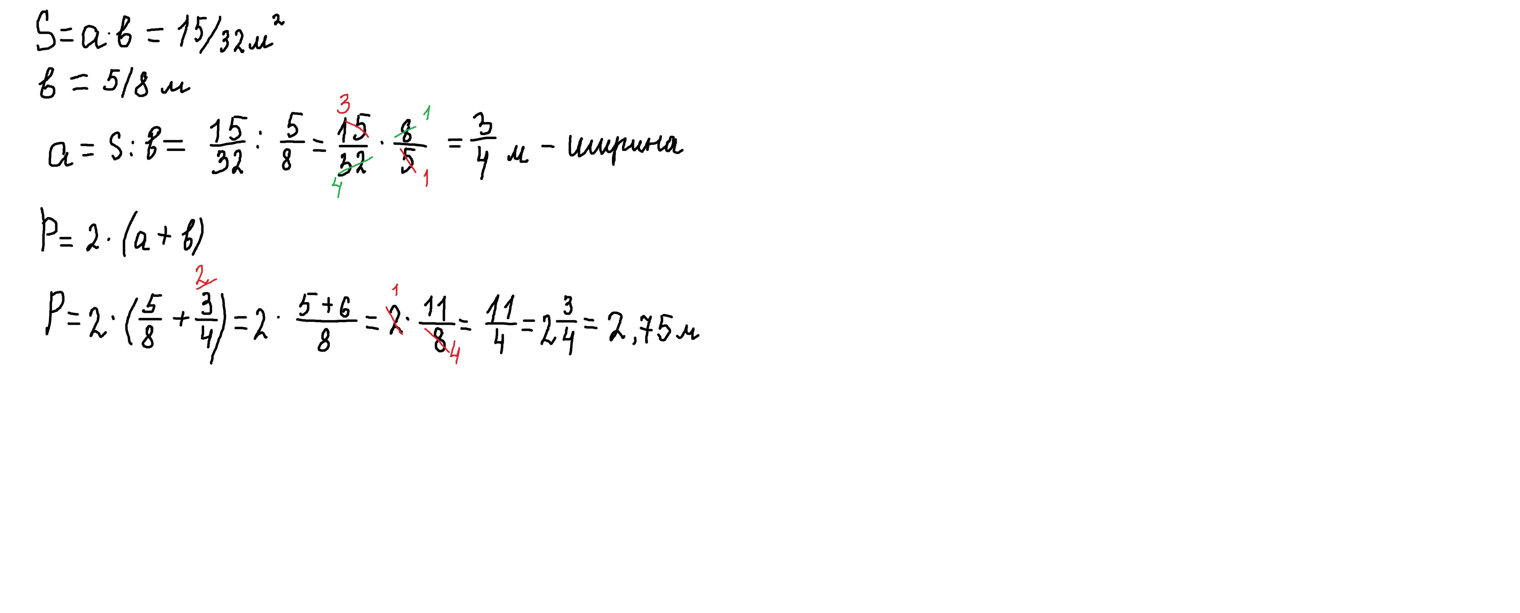
Ответ дал: parus77
1

Ответ:

2,75 м длина багета для изготовления рамки

Пошаговое объяснение:

сначала найдем ширину рамки,потом найдем периметр картины-это и будет длина багета для изготовления рамки

Приложения:
Вас заинтересует