• Предмет: Алгебра
  • Автор: superkisa200
  • Вопрос задан 10 лет назад

(4х+0,1у)в кубе решите плиз

 

(0,2а+10в)в кубе 

 

(0,3в-10с)в кубе

 

(0,5-2у)

Ответы

Ответ дал: Викасик
0
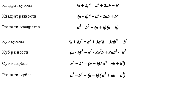
Ты можешь решить эти примеры по данным формулам:
4 и 5 формулы подходят к твоим примерам...
Приложения:
Вас заинтересует