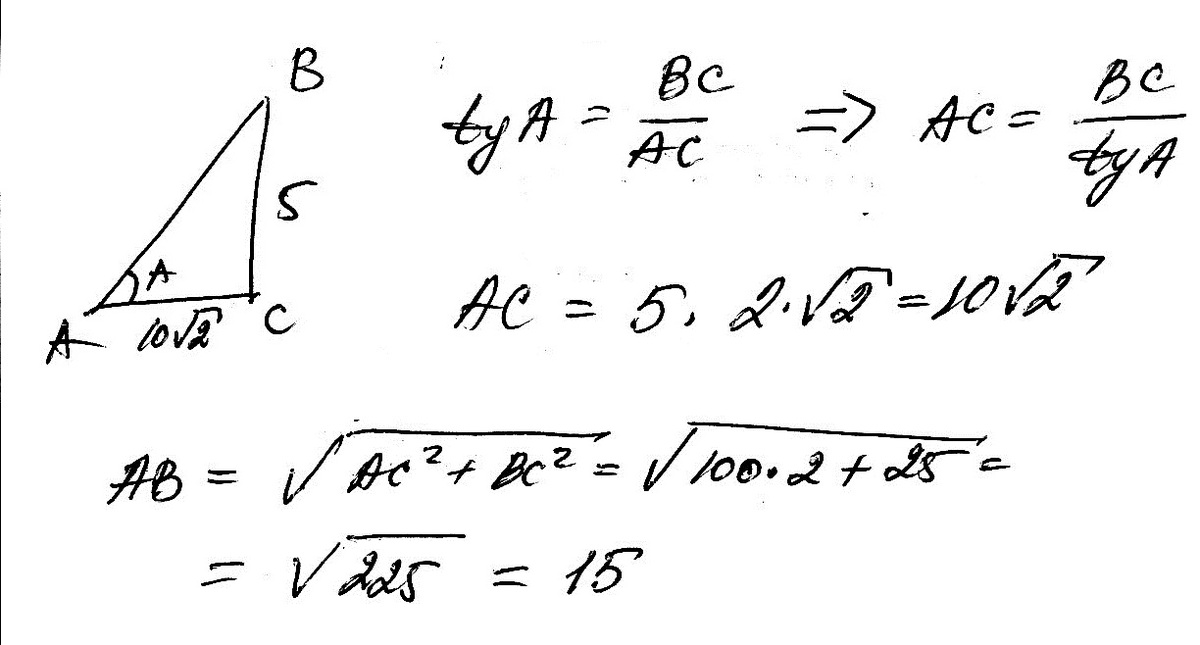
Решите задачу. В треугольнике ABC угол С = 90*, BC=5, tgA= 1/2 корень из 2.
Найдите AB/
Приложения:

Ответы
Ответ дал:
0
Ответ: 15.
Ответ дал:
0
Решение ниже в приложении ============
Приложения:

Вас заинтересует
2 года назад
8 лет назад
8 лет назад
10 лет назад
10 лет назад