• Предмет: Математика
  • Автор: yumi20084
  • Вопрос задан 3 года назад

помогите решить уравнение пожалуйста ​

Приложения:

Ответы

Ответ дал: ildar502020
0

Ответ:   x=-2.

Пошаговое объяснение:

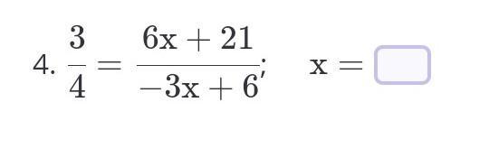
3/4=(6x+21)/(-3x+6);

3(-3x+6)=4(6x+21);

-9x+18=24x+84;

-9x-24x=84-18;

-33x=66;

x=-2.

Вас заинтересует