• Предмет: Алгебра
  • Автор: flate228
  • Вопрос задан 3 года назад

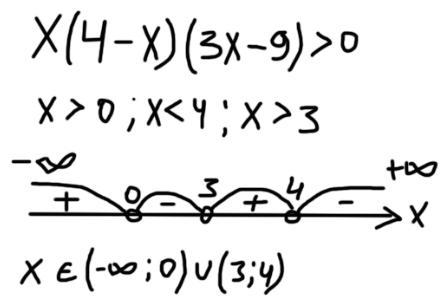
x(4-x)(3x-9)>0

Решите плиииииз​

Ответы

Ответ дал: supsellkvx
0

Ответ:

.............................................

Объяснение:.

Приложения:
Вас заинтересует