Ответы
Ответ дал:
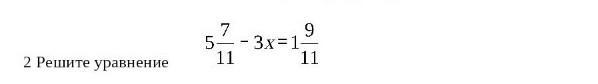
1
Ответ:
Пошаговое объяснение:
вроде все ясно)
Приложения:

Аноним:
красивый почерк)
Ответ дал:
0
Пошаговое объяснение:
ответ в решений .............................
Приложения:

Вас заинтересует
2 года назад
2 года назад
2 года назад
8 лет назад
8 лет назад
9 лет назад