• Предмет: Математика
  • Автор: burova31082005
  • Вопрос задан 3 года назад

Помогите с алгеброй с объяснениями как вы это сделали ​

Приложения:

Ответы

Ответ дал: dmytrododuliak
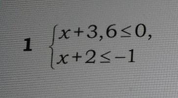
1

Ответ:

(-oo; -3;6] & [-3,6;-3]

Пошаговое объяснение:

по очереди решаем каждое уравнение:

1) x <= -3,6

2) x <= -3

у нас есть две точки равенства, и теперь записываем интервалы решения: X Є  (-oo; -3;6] & [-3,6;-3]

важно поставить именно квадратные скобки т.к. так мы показываем что и -3 и -3.6 являются частями решения.

Данный интервал и будет решением уравнения

Вас заинтересует