• Предмет: Математика
  • Автор: zheksenva
  • Вопрос задан 3 года назад

й
noe
Деление десятичной дроби на натуральное число. Деление десятичных дробей.
Урок 5
Урок 5
Найди значение выражения:
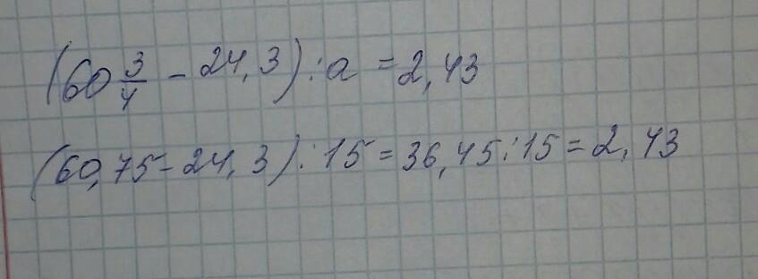
(602-24,3): are a = 15
4
Ответ: N.
....
-
Назад
Проверить
WE
ROSE
Я
S
RU .
1
23.6​

Приложения:

Ответы

Ответ дал: furmansergii79
7

пожалуйста ......... ......

Приложения:

zheksenva: напиши что надо писать туда
furmansergii79: 2,43
zheksenva: спс
Аноним: спс
dusambaevat: спсспспспспспспспспспспспс
Вас заинтересует