помогите заделать математику
Приложения:

zhankalybaktybaev16:
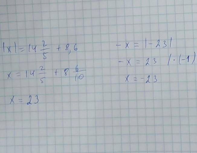
Германия: х=-23;23
Ответы
Ответ дал:
0
Ответ:
в первом я забыла, там ты должен написать
х1=23 х2= -23
Приложения:

Вас заинтересует
2 года назад
2 года назад
2 года назад
8 лет назад
8 лет назад
9 лет назад