Ответы
Ответ дал:
0
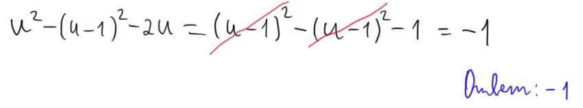
Решение на картинке.
Приложения:


Ответ дал:
0
Добавил к ответу.
Вас заинтересует
2 года назад
8 лет назад
8 лет назад
10 лет назад
10 лет назад