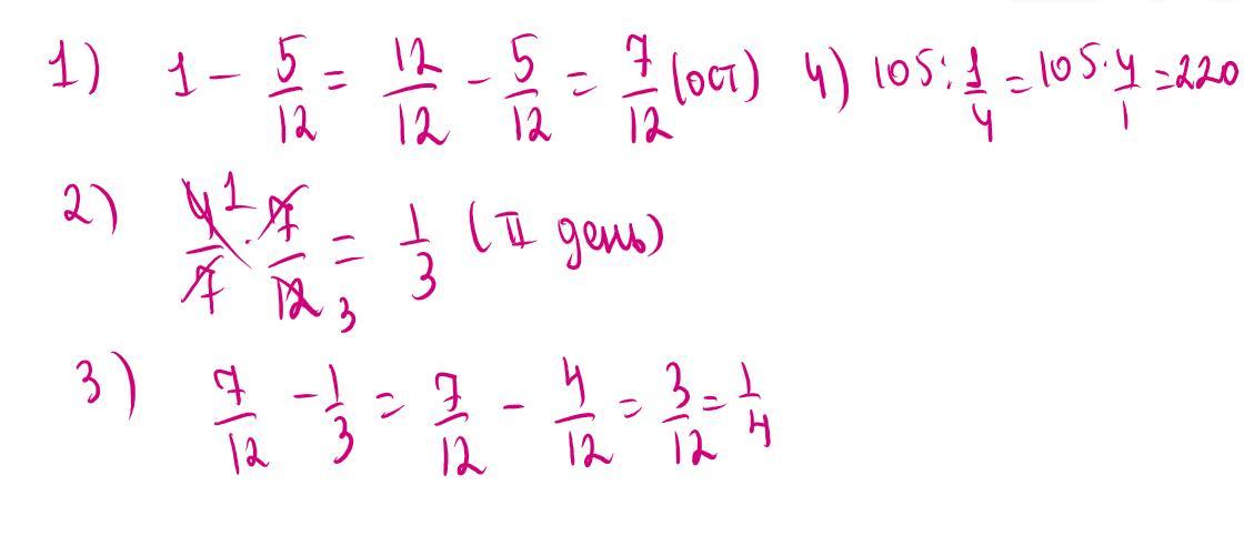
№ 18 За первый час автомобиль проехал 5/12 всего пути, во
второй — 4/7 остатка , а в третий – остальные 105 км. Сколько
километров проехал автомобиль за три часа?
Ответы
Ответ дал:
0
Ответ:
Пошаговое объяснение:
Приложения:

Ответ дал:
1
Ответ:
240 км
Пошаговое объяснение:
Остаток -- 7/7.
7/7 - 4/7 = 3/7 -- это 105 км.
105 / 3 = 35 -- 1/7 остатка.
35 x 7 = 140 км -- весь остаток.
Часть кроме остатка -- 5/12 всего пути. Значит весь путь -- 12/12.
12/12 - 5/12 = 7/12 -- остаток.
140 / 7 = 20 -- 1/12 всего пути.
20 x 12 = 240 км -- весь путь.
Вас заинтересует
2 года назад
2 года назад
2 года назад
8 лет назад
9 лет назад