• Предмет: Алгебра
  • Автор: loperfasd
  • Вопрос задан 3 года назад

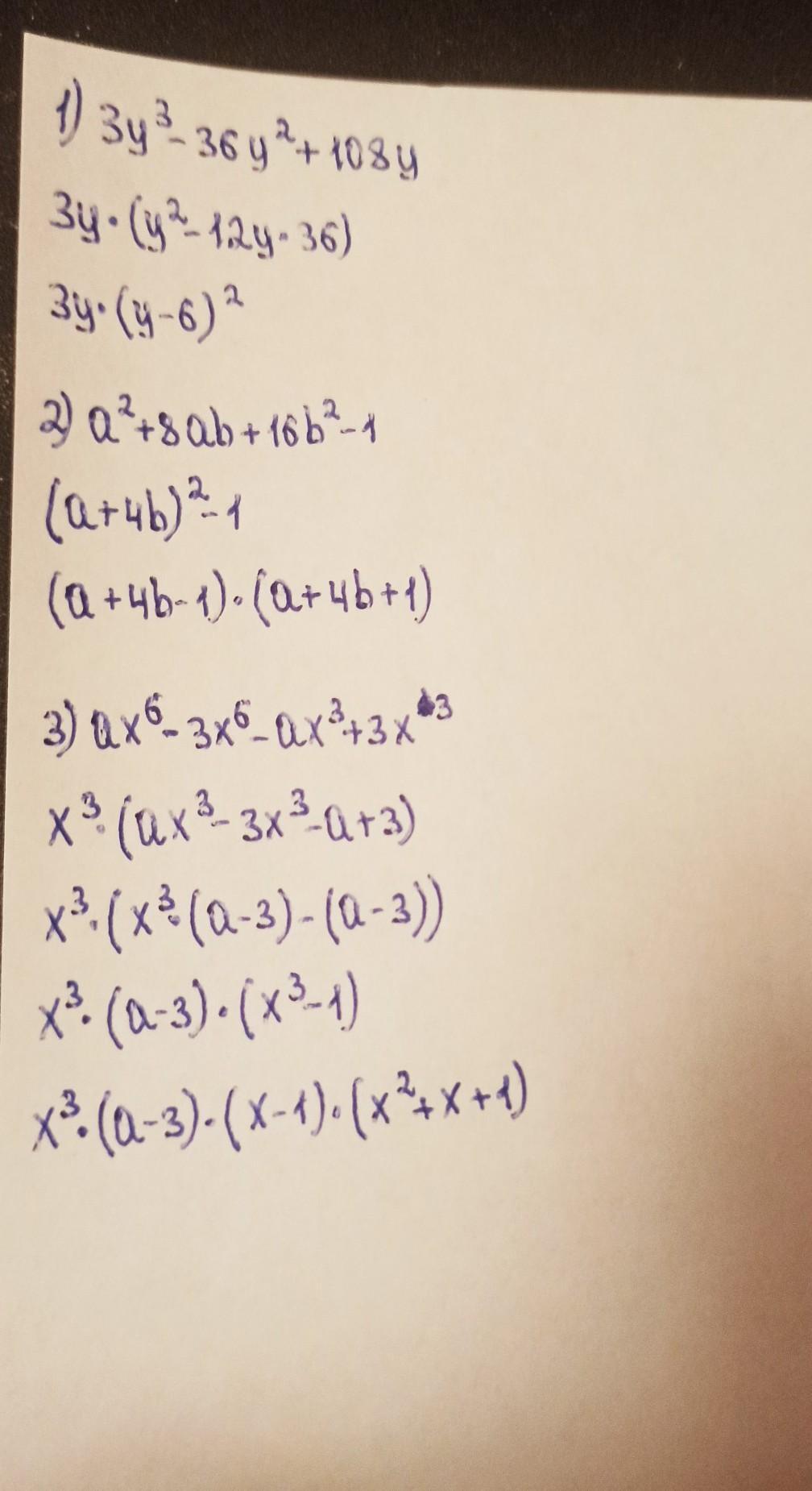
Разложите на множители ​

Приложения:

Ответы

Ответ дал: vapeivankyran
1

Объяснение:

тут точно правильные ответы гарантирую

Приложения:
Вас заинтересует