• Предмет: Алгебра
  • Автор: Аноним
  • Вопрос задан 3 года назад

АЛГЕБРА 7 КЛАСС
.-.-.-.-.-.-.-.-.-.-.-.-.-.-.-.-

Приложения:

Ответы

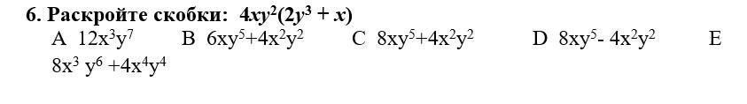
Ответ дал: asemtutkaeva
1

Ответ:

Правильный ответ будет "С"

Вас заинтересует