Ответы
Ответ дал:
2
Ответ:
x∈[-1,7; 1,7]
Пошаговое объяснение:
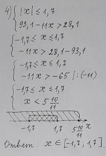
{-1,7⩽x⩽1,7
{65>11x
{-1,7⩽x⩽1,7
{x<65/11
Находим пересечение:
x∈[-1,7; 1,7]
(ты меня,уж прости,мне жаль что так вышло)
Приложения:

almat091089:
Если нужно могу скинуть решение остальных
Вас заинтересует
2 года назад
2 года назад
8 лет назад
8 лет назад
9 лет назад
9 лет назад