• Предмет: Алгебра
  • Автор: 15245357568
  • Вопрос задан 3 года назад

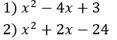
Разложите на множители трехчлен, выделив предварительно квадрат двучлена :

Приложения:

Ответы

Ответ дал: NNNLLL54
1

Ответ:

1)\ \ \ x^2-4x+3=(x^2-4x+4)-4+3=(x-2)^2-1=\\\\=(x-2-1)(x-2+1)=(x-3)(x-1)\\\\\\2)\ \ x^2+2x-24=(x^2+2x+1)-1-24=(x+1)^2-25=\\\\=(x+1-5)(x+1+5)=(x-4)(x+6)

Вас заинтересует