• Предмет: Қазақ тiлi
  • Автор: Zhansulu45
  • Вопрос задан 3 года назад

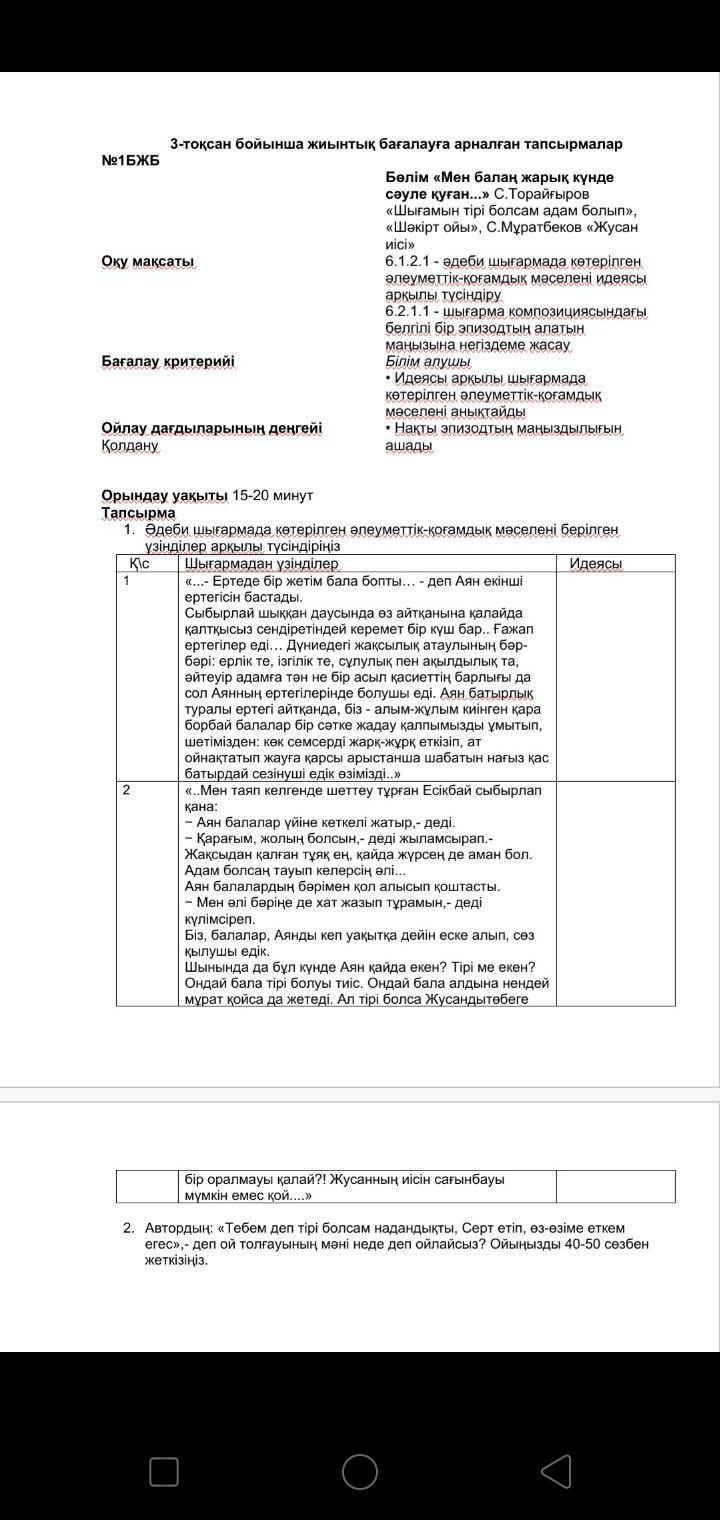
Помогите Срочно дам 20 баллов.Бжб Қазақ әдебиет.Сор по казахской летературы;!!!!!!!!!

Приложения:

Ответы

Ответ дал: nursultanhasen608
14

Ответ:

Объяснение:

1-тапсырма

1. Аянның батырлық туралы

ертегілері балаларға

шабыт беріп, соғыс кезіндегі жоқшылықты,

уайым-қайғыны ұмыттырып жіберетін.

2. Оларда Аянға деген қимастық болды. Олар Аянға бауыр басып қалған еді. Аян кеткеннен

кейін оны сағынатынын білді.

2-тапсырма

Мен надандықты өзімнен алшақ ұстаймын. Тірі болсам надандықты өзіме дарытпаймын деп тұр. Надандықты бойыма жолатпаймын деп тұр. Надан болмай бірнәрсе

үйренемін деп өзіме серт бердім деп тұр.


akerkealmaskyzy2: Это не тот
akerkealmaskyzy2: Вы просто из инсты взяли
Вас заинтересует