Ответы
Ответ дал:
1
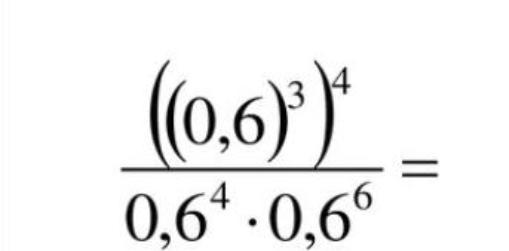
0,6^12
0,6^10 = 0,6^2= 0,36
0,6^10 = 0,6^2= 0,36
Вас заинтересует
2 года назад
2 года назад
3 года назад
3 года назад
8 лет назад
8 лет назад
10 лет назад
10 лет назад