• Предмет: Алгебра
  • Автор: KALAV567
  • Вопрос задан 3 года назад

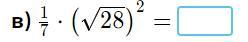
Помогите по алгебре, пример на фото

Приложения:

Ответы

Ответ дал: vasilaxon96
1

Ответ:

\frac{1}{7}×√28²=(1/7)*28=28/7=4

Вас заинтересует