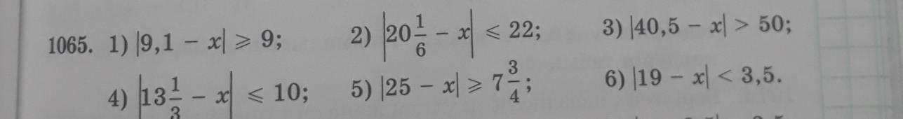
3) 40,5 - xl > 50;
1065. 1) 19,1 - x > 9;
< 22;
2) (2005-04
5(7
6) 19 - x < 3,5.
4) |13 -
x < 10;

Ответы
Ответ:
Пошаговое объяснение:
1) |9,1-x|≥9
при 9,1-x≥0: 9,1-x≥9; x≤9,1-9; x≤0,1
при 9,1-x<0: x-9,1≥9; x≥9+9,1; x≥18,1
x∈(-∞; 0,1]∪[18,1; +∞)
2) |20 1/6 -x|≤22
при 20 1/6 -x≥0: 20 1/6 -x≤22; x≥20 1/6 -21 6/6; x≥-1 5/6
при 20 1/6 -x<0: x-20 1/6≤22; x≤22+20 1/6; x≤42 1/6
x∈[-1 5/6; 42 1/6]
3) |40,5-x|>50
при 40,5-x≥0: 40,5-x>50; x<40,5-50; x<-9,5
при 40,5-x<0: x-40,5>50; x>50+40,5; x>90,5
x∈(-∞; -9,5)∪(90,5; +∞)
4) |13 1/3 -x|≤10
при 13 1/3 -x≥0: 13 1/3-x≤10; x≥13 1/3 -10; x≥3 1/3
при 13 1/3 -x<0: x-13 1/3≤10; x≤10+13 1/3; x≤23 1/3
x∈[3 1/3; 23 1/3]
5) |25-x|≥7 3/4
при 25-x≥0: 25-x≥7,75; x≤25-7,75; x≤17,25
при 25-x<0: x-25≥7,75; x≥7,75+25; x≥32,75
x∈(-∞; 17,25]∪[32,75; +∞)
6) |19-x|<3,5
при 19-x≥0: 19-x<3,5; x>19-3,5; x>15,5
при 19-x<0: x-19<3,5; x<3,5+19; x<22,5
x∈(15,5; 22,5)