• Предмет: Математика
  • Автор: keikonastya1331
  • Вопрос задан 3 года назад

!!!!!ПОМОГИТЕ ПОЖАЛУЙСТА!!!СРОЧНО!!!ДАЮ 20 БАЛЛОВ!!!ЛУЧШЕ ПВЕГО С РЕШЕНИЕМ!!

Приложения:

Ответы

Ответ дал: volodyabolshakov
1

Ответ:

Пошаговое объяснение:

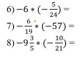
6) 30/144,

7) 342/1083

8)480/1008


keikonastya1331: спасибо, но лучше было бы если с решением...
Ответ дал: onlainhelp
1

1) -6*(-\frac{5}{24} )=-\frac{6}{1} *(\frac{5}{-24} )=\frac{1*5}{4} =\frac{5}{4} =1\frac{1}{4}

2) -\frac{6}{19} *(-57)=\frac{6}{-19} *\frac{-57}{1} = \frac{6*3}{1*1} =18

3) -9\frac{3}{5} *(-\frac{10}{21} )=\frac{48}{-5} *\frac{-10}{21} =\frac{16*2}{1*7} =\frac{32}{7} =4\frac{4}{7}

Вас заинтересует