Ответы
Ответ дал:
1
Ответ:
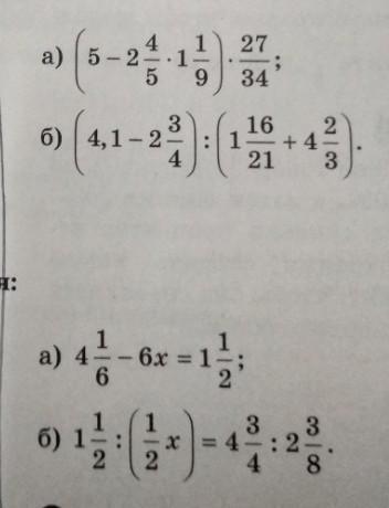
Сделала а),б) то что в низу .
Приложения:

babkavkedah08:
спасибо
Вас заинтересует
2 года назад
2 года назад
2 года назад
8 лет назад