Ответы
Ответ дал:
0
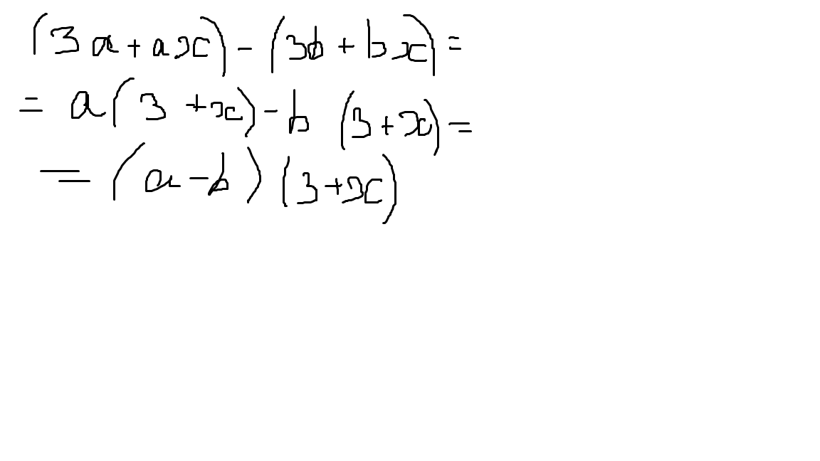
Получится вот так :)
Приложения:

Ответ дал:
0
пжл.
Вас заинтересует
2 года назад
8 лет назад
10 лет назад
10 лет назад
10 лет назад