Ответы
Ответ дал:
1
Ответ:
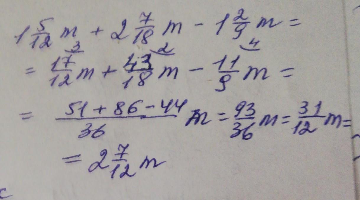
1 15/36m+2 14/36m-1 8/36m= 2 21/36m=2 7/12
Ответ дал:
0
Ответ:
Смотри решение на фото
Приложения:

Вас заинтересует
2 года назад
2 года назад
2 года назад
8 лет назад
9 лет назад